Ben - Subject Expert

Image for the badge Day One Done.
Day One Done earned for a 1-day streak!
2025-02-07-answer.png

Hi Riya!

The second reaction of the top row is incorrect.  Grignard reagents do not react with alkyl halides via SN2 to form alkanes.  If we wanted to prepare propane from an alkyl halide, we would start with propyl bromide, treat it with magnesium to form propylmagnesium bromide, then treat it with a weak acid like water, an alcohol, or a carboxylic acid to protonate it (see image).

Same thing with the second reaction of the middle row.  Alkyllithium reagents do not react with alkyl halides to form alkanes. You're right that the alkyllithium would first need to be treated with CuI to form a Gilman reagent before it can react with the alkyl halide.

For the bottom row, not only would the alkyllithium need to be converted to an alkyl halide for the reaction to work, but the alkene shown above the arrow in the second reaction would need to be converted to an alkyl halide in order for the coupling reaction to take place.

-Ben 

01 Feb 16:08

2025-02-01-answer.png

Hi Esteban!

That's a great question!  For this particular example, stereochemistry was not shown.

See the attached image.  If we consider the stereochemistry, and we define carbon 1 to be the positively charged carbon of the carbocation, a new chiral center is formed at carbon 2 when the methyl shift occurs, giving two enantiomers of the carbocation intermediate--one with the methyl group on carbon 2 wedged, and the other dashed.

The carbocation intermediate is planar, so the nucleophile can attack from either side, giving two enantiomers from each carbocation.  So in total, we have four stereoismers.

-Ben

01 Feb 08:04

That's correct. Tertiary alkyl halides are too sterically hindered to allow backside attack from a nucleophile.

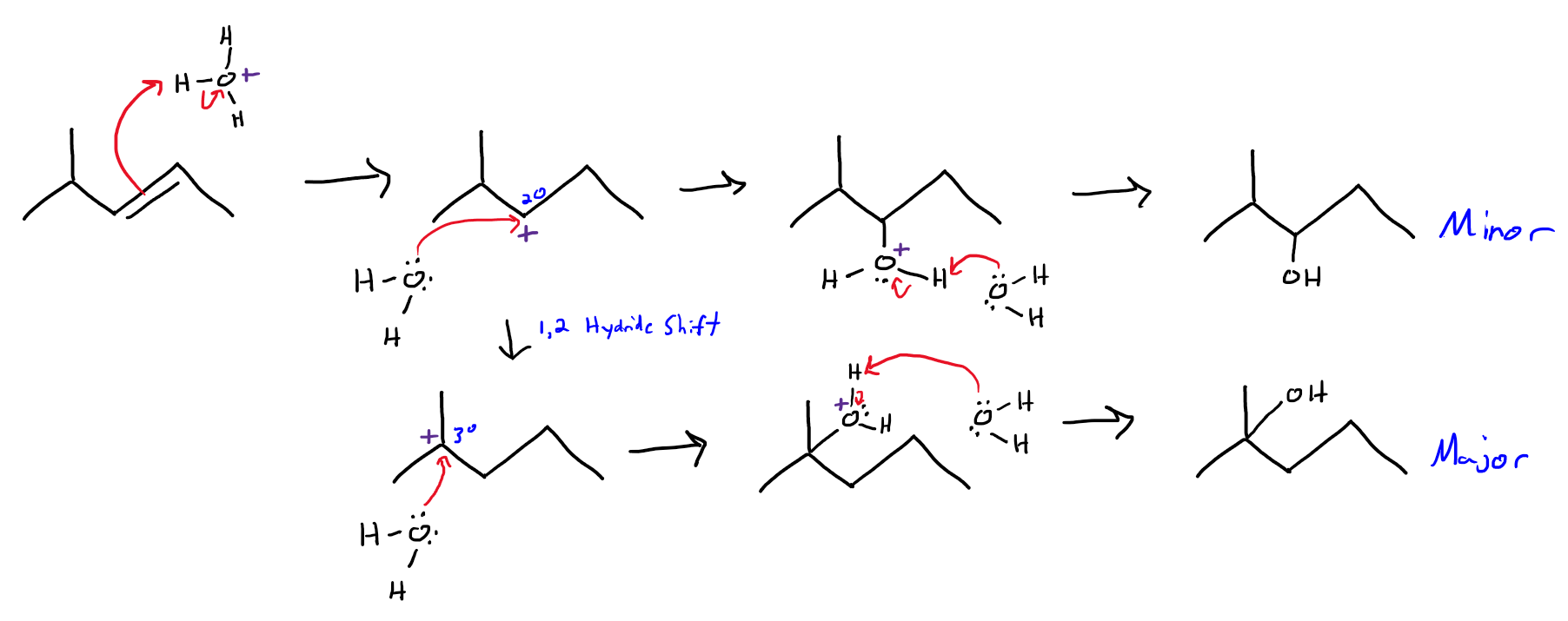
2025-01-29-question-answer.png

Hi Ibex!

See the attached image. 

The reaction shown is an acid-catalyzed hydration of an unsymmetrical alkene. The secondary carbocation formed upon protonation of the double bond can undergo a 1,2 hydride shift to form a more stable tertiary carbocation.  However, the intermediate is not exclusively the tertiary carbocation.

These reactions are regioselective, not regiospecific, meaning one product is formed in greater abundance than the other, rather than one product forming exclusively.  The major product, in this case, would be the product that is formed via the tertiary carbocation intermediate, while the minor product would be the product that is formed via the secondary carbocation intermediate.

-Ben

Reply

26 Jan 19:38

Hi Michelle!

Axial and equatorial atoms bonded to the same carbon will always point in opposite directions to keep the tetrahedral geometry around the carbon atom.  If an axial hydrogen is pointed up, then the equatorial hydrogen on the same carbon will point down.  In the structure on the left, for instance, carbon 2 shows both the axial bond and the equatorial bond pointing up, which is incorrect.

-Ben

Reply

26 Jan 19:06

Hi Michelle,

I'm afraid I don't understand your question.  Will you please rephrase it?

-Ben

2025-01-26-answer.png

Hi Andrea!

See the attached image.  A methyl shift would form a stable tertiary carbocation.  However, the carbocation is already tertiary (and therefore stable) upon protonation, so there's no thermodynamic advantage to a methyl shift.

-Ben

Reply

14 Jan 18:37

2025-01-14-number-of-substituents-answer.png

Michelle,

See the attached image. Sometimes there are two different chains with equal numbers of carbon atoms that could be chosen as the parent chain.  When this is the case, we go with the one that has the highest number of branch points.  That's what maximizing the number of substituents means.

-Ben

Reply

Hi Melissa!

Basic conditions are usually preferred for aldol reactions for several reasons--milder reaction conditions, higher reactivity, higher selectivity, etc.

Acidic conditions cause the aldol addition product to undergo elimination to form the aldol condensation product to a greater extent than basic conditions do. If the goal is to isolate the addition product (the beta-hydroxy carbonyl compound), then acidic conditions aren't the best choice, because acidic conditions will more-than-likely result in the formation of the condensation product (alpha-beta unsaturated enone).

I don't know what you mean by "better". Do you mean a more product-favored equilibrium?The reaction scheme shown at 0:42 in the video shows the aldol addition reaction of acetone under basic conditions. 

Where are you seeing that acidic is better for acetone?

-Ben

Hi Briana!

I'm not sure what you're asking here. 

Could you provide a timestamp or an image that illustrates the question?

-Ben