Ben - Subject Expert

Image for the badge Day One Done.
Day One Done earned for a 1-day streak!

18 Oct 05:42

2025-10-18-answer.png

Hi Mano,

The attached image shows two structures--one in which the negative charge (and the lone pair that attacks the electrophile) are on the carbon atom, and one in which the negative charge is on the nitrogen atom.

If we determine the formal charge of both atoms for both scenarios, we'll see the following:

Structure 1:

• Carbon: 4 valence electrons - (5 electrons in lone pairs/bonds) = -1

• Nitrogen: 5 valence electrons - (5 electrons in lone pairs/bonds) = 0

Structure 2:

• Carbon: 4 valence electrons - (3 electrons in lone pairs/bonds) = +1

• Nitrogen: 5 valence electrons - (5 electrons in lone pairs/bonds) = -2

From the information above, we can see that the first structure, with the nucleophilic center at the carbon atom, has fewer non-zero formal charges, which allows more stability.

If we imagine the nucleophilic attack taking place from the nitrogen atom, we'll see a similar story in the product--we get non-zero formal charges for both the carbon and the nitrogen.

-Ben

Hi Pradhikshan,

Although carbon and hydrogen are different elements and have different electronegativities, the difference in electronegativity between carbon and hydrogen is quite small, so in most contexts a C-H bond is considered nonpolar.  In this case, these four molecules can be compared by ignoring the polarity of the C-H bond and considering the geometry of the C-Cl bonds.

-Ben

05 Oct 05:48

dna-hydrogen-bonding.png

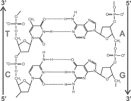
Pradhikshan,

Yes, a partially positive hydrogen atom bonded to O, N, or F can form a hydrogen bond with an electronegative atom (e.g. a carbonyl oxygen) that is not bonded to O, N, or F.  A good example of this is the hydrogen bonds that hold two strands of DNA together to form a double helix.  In the attached image, hydrogen bonds between nitrogenous bases of DNA are represented by dotted lines.

-Ben 

02 Oct 20:09

Pradhikshan,

You are correct.  sp3 hybrid orbitals are higher in energy than s orbitals, and lower in energy than p orbitals. sp3 hybrids are basically a weighted average of the orbitals from which they're formed.

-Ben

02 Oct 20:04

If the lowest priority group is in the front,

• Configuration is S if the 1 > 2 > 3 sequence follows the clockwise direction

• Configuration is R if the 1 > 2 > 3 sequence follows the counterclockwise direction

If the lowest priority group is in the back, then the rules are reversed.

-Ben

02 Oct 20:02

2025-10-02-answer.png

Hi Daniella,

To assign an R or S configuration to a chiral center, first we assign Cahn-Ingold Prelog Priorities to each of the atoms to which the chiral center is bonded.In the case of the molecule on the right, we have a bromine atom, a methyl group, an ethyl group, and an understood hydrogen.  To complete the tetrahedral geometry of the carbon atom, the hydrogen atom is in front of the plane of the screen, which would be represented by a wedged line (see attached image).

Highest atomic number takes priority, so the bromine is priority 1.

Between the ethyl group and the methyl group, the ethyl group takes priority. In this case, both atoms bonded to the chiral center are carbon, but we keep moving down the chain of atoms until a difference is found.  So the ethyl group is priority 2, and the methyl group is priority 3.

With the lowest atomic number, hydrogen is priority 4.

Continued in reply

Pradhikshan,

You're right.  Diazene exists as cis and trans isomers, which are polar and nonpolar, respectively.  Thank you for bringing this to our attention.  We'll correct it as soon as possible.

-Ben

Reply
2025-10-01-answer.png

Hi Batoul,

In the attached image, I've drawn the conjugate bases of all three acids.  In order for an atom to participate in resonance, there must be a p orbital that can allow for pi or nonbonding electrons to be delocalized throughout a section of the molecule.  For the conjugate base of acid C, since the carbon at the top and the carbon at the bottom left both have four bonds, they're sp3 hybridized--all three p orbitals in the n = 2 shell are used up, and no free p orbitals are available to participate in resonance.

-Ben

Substituents that don't work are strong deactivators such as -NO_2, -CF_3, -SO_3H, -CN, -COOH, -COR, -CHO, -CONH_2, -COOR and strong Lewis bases such as -OH, -NH_2, -NHR, -NR_2.

Hi Joelle,

Friedel-Crafts alkylation and acylation don't work with amino groups because they form complexes with Lewis acid catalyst like AlCl_3.  The same is true for the hydroxyl group (-OH).

They also don't work very well with strongly deactivating groups (electron withdrawing groups).  This is for the same reason that many electrophilic aromatic substitution reactions don't work with deactivating groups--deactivators make the aromatic ring more electron-poor, reducing its ability to react with an electrophile.  Halogens (-Cl, -Br, -F, -I) work, but since they're moderate deactivators, the reaction will not be as fast as with benzene or an activated aromatic.

To summarize, FC reactions work with -H (benzene), alkyl groups (-CH_3, CH_2CH_3, etc.), aryl (-Ph), halogens (-Cl, -Br, -F, -I), and protected amino/oxy groups (-NHCOR, -OCOR).

Continued in reply