Ben - Subject Expert

Image for the badge Day One Done.
Day One Done earned for a 1-day streak!

07 Sep 14:03

2025-09-07-answer.png

Hi Joelle,

In skeletal structure notation, all ends, corners, and intersections of lines are carbon atoms, and each carbon is understood to be bonded to enough hydrogens to give it a total of four bonds.

In the attached image, I've shown all of the understood hydrogens in blue.

-Ben  

01 Sep 19:16

The number of valence electrons doesn't necessarily determine the number of bonds that at atom can form.  A nitrogen atom, for instance, has five valence electrons, but it doesn't form five bonds.

-Ben

01 Sep 19:16

Hi Stephanie,

The ground state electron configuration of a carbon atom, whose orbital diagram is shown on the left side of the screen in that 17:38 timestamp, shows a valence shell with a full 2s orbital, two 2p orbitals with an unpaired electron, and the other 2p orbital empty. It tends to imply that the electrons in the full 2s orbital can't participate in bonding because the orbital is full and doesn't need to bond, and that the 2p orbital can't be involved in bonding either because it has no electrons to share with another atom. If excitation and hybridization weren't possible, we would only expect the two 2p orbitals with unpaired electrons to form bonds.

However, upon excitation and hybridiztion, four degenerate orbitals result, each with an unpaired electron that can be shared with another atom, giving the possibility of molecules in which carbon is bonded to four atoms, such as methane or carbon tetrachloride. **Continued in reply below**

Hi Shelby,

"Chiral center" specifically refers to a carbon atom with four unique groups bonded to it.

"Stereocenter" is a broader term for any atom for which swapping two groups results in a different stereoisomer (enantiomer or diastereomer).  An example would be a carbon atom that's part of a carbon-carbon double bond with E/Z isomerism.

So all chiral centers are stereocenters, but not all stereocenters are chiral centers.  Unfortunately, the two terms are often used interchangeably.

-Ben

Hi Shelby,

When numbering the parent chain carbons of an alkene, the IUPAC rule is to begin at the end closer to the double bond. Numbering from the left puts the first double bond between carbons 2 and 3. Numbering from the right puts the first double bond between carbons 1 and 2. So, by the IUPAC rule, we'd number this one from the right.

-Ben

07 Jul 17:26

Hi Anna,

The conjugate base is what's left of the acid after the acid has lost its H+. In this case, the second reactant is behaving as the acid, losing an H+.

The second product (with the triple bond and a negative charge) is the result of the second reactant (with the triple bond, the hydrogen on one of the triply-bonded carbons, and no charge) losing an H+.

-Ben  

Reply

Hi Maverick,

The stereochemical outcome of the reaction depends on the mechanism.

For instance, with acid catalyzed hydration, a carbonation intermediate is formed, which is planar and can be attacked from either side, resulting in a 50/50 mixture of enantiomers if a new chiral center is formed.

With hydroboration, both the -H and the -OH add to the same face of the double bond, a phenomenon known as syn addition. They could both add from the "top" face, or they could both add from the "bottom" face, but they'll never add to opposite faces e.g. one from the top and the other from the bottom. If two new chiral centers are formed, then the product will be a mixture of enantiomers as a result of both adding to one face and both adding to the other face.

The same logic applies to oxymercuration, except its anti addition. The -H and -OH add to opposite faces of the double bond.

Reply
2025-06-09-answer.png

Hi Leslie,

The first rule is to number the parent chain beginning with the end closest to the first substituent (whether alkyl or halo).  If there's a tie, we begin at the end closest to the second substituent, and so on. The reason why "B" isn't correct is because the second substituent is on Carbon 3, where it's possible to choose the parent chain such that the second substituent is on Carbon 2. 

This leaves two possibilities...starting at the Bromine-bearing carbon and moving down the ring...1-Bromo-5-fluoro-2-propylcyclohexane, or starting at the propyl-bearing carbon and moving up the ring... 2-Bromo-4-fluoro-1-propylcyclohexane.

The first case has substituents on carbons 1, 2, and 5.The second case has substituents on 1, 2, and 4.

2-Bromo-4-fluoro-1-propylcyclohexane is correct because it carries the lowest numbered substituents.  Notice also that the substituents appear in alphabetical order...Bromo-, then Fluoro-, then Propyl-.  This is why "A" is not correct.

-Ben 

Reply
2025-06-01-answer.png

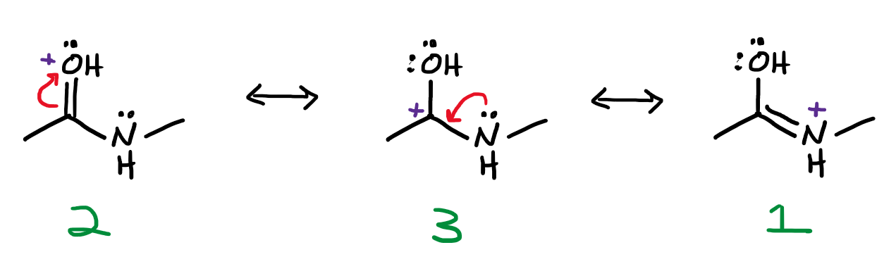
Hi Asmaa,

You're correct.  A structure in which the carbon carries a positive charge is a resonance contributor.  However, it contributes much less significantly than the other two structures, since the carbon atom doesn't have an octet, while in the other two structures, all atoms have an octet.

The attached image shows all three structures, ranked from highest to lowest in contribution to the resonance hybrid.

Thank you!

-Ben

Reply
2025-05-29-answer2.png

Hi Hope,

The dashed bond is one that's projecting behind the plane of the page (or screen, in this case), away from you.

The wedged bond is one that's projecting in front of the plane of the screen, toward you.

If you were looking at the molecule from the left side, then yes, wedged bonds would be on your right, and dashed bonds would be on your left.  However, when you look at it from the other side, it's the opposite.  In the attached image, I've drawn what the Newman projection would look like if you were looking at the molecule from the left side.

-Ben