Ben - Subject Expert

Image for the badge Day One Done.
Day One Done earned for a 1-day streak!

29 May 04:09

2025-05-29-answer.png

Hi Hope,

The term "gauche" means that the two atoms or functional groups we're looking at are roughly 60° apart when viewing the comformation of the molecule as a Newman projection.  It could be any two atoms or groups, as long as one of them is bonded to the front carbon, and the other is bonded to the back carbon.

In the attached image, I've redrawn the isopropyl group as CH(CH3)2 to better illustrate how bulky it is compared to a methyl group.

In the comformation on the left, the methyl group of the front carbon is anti to the isopropyl group and gauche to the methyl group of the back carbon.

In the comformation on the right, the methyl roup of the front carbon is anti to the methyl group of the back carbon and gauche to the isopropyl group.

The comformation on the left is energeitcally favored because the bulky alkyl substituents have a greater degree of separation from one another, causing less steric strain.

-Ben

Hi Michelle,

We know where to add the hydrogens because carbons 2 and 3 are the only ones that have room to accept new hydrogens.  Prior to the reduction, all other carbons have four bonds, so they can't form a new bond to a hydrogen atom.  We can think of the reduction of an alkyne to an alkane as a two-step process, in which the triple bond converts to a double bond, gaining two new hydrogens, then the double bond coverts to a single bond, gaining two new hydrogens.

-Ben

07 May 04:07

Hi Kandace,

You're right.  Since the hydrogens that are meta to the vinyl group have nonequivalent neighboring protons, they would show complex splitting.

-Ben

Reply

Hi Darlene,

"Symmetrical" in this context means that the both double-bond carbons have the same degree of substitution.

In 1 and 2, one of the double-bond carbons is bonded to no carbons, and the other double-bond carbon is bonded to two carbons.

In 3, both double-bond carbons are bonded to a methyl group and a hydrogen atom.  In this case, it doesn't matter which carbon gets the chlorine and which carbon gets the hydrogen, because the same molecule will result either way.

-Ben

2025-04-22-answer.png

Hi Jen,

You're on the right track.  That methylcyclohexene at the end of your second step can be treated with ozone, followed by zinc under acidic conditions to undergo oxidative cleavage, which breaks the double bond and gives each of the alkene carbons a new double bond to an oxygen.

Now we have a molecule that has a ketone on one end and an aldehyde on the other.  The aldehyde group can be converted to an acid anhydride group, giving you the target product...but not directly.  Think about a multi-step approach to go from aldehyde to anhydride.  If you get stuck, please reply and I'll provide more help.

-Ben

Hi Esteban,

That was a mistake on our part.  The products of the last step of the mechanism should be the enone and OH-, the original catalyst.  Apologies for the confusion.

-Ben

Hi Esteban,

The conditions would probably be better summed up in two steps rather than three.

The first step is the base-catalyzed aldol addition (Part 1).  We can include the solvent in this step.  For instance, we could show NaOH above the reaction arrow and H2O below the reaction arrow.  The solvent doesn't necessarily have to be water.  In fact, longer-chain aldehydes tend to be lousy at dissolving in water.  Often, you'll see just the base, no solvent.

Then we have Part 2, the dehydration step.  This step can be catalyzed by either base or acid, so yes, the H3O+/∆ would be appropriate to carry out this step.

-Ben

2025-04-08-answer2.png

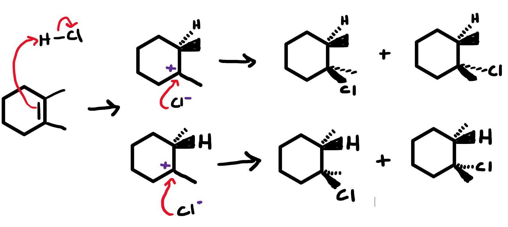
Kandace,

You're right.  When the alkene is protonated, the new hydrogen could be above or below the plane of the ring, giving two enantiomers of the carbocation intermediate.

Each enantiomer of the carbocation intermediate can be attacked by the chloride ion from above or below the plan of the ring, resulting in four stereoisomers.

-Ben

Reply
2025-04-08-answer.png

Mariana,

According to Zaitsev's rule, base-induced elimination reactions generally favor the alkene with the most alkyl substituents on the double-bond carbons.

The first product has three alkyl substituents on the double-bond carbons, while the last product has four alkyl substituents on the double-bond carbons.

-Ben

Hi Kandace,

The bonds that connect the formerly alkene carbons and the oxygen will always be pointed in the same direction i.e. both wedged or both dashed, never one wedged and the other dashed.  Syn addition means that both C-O bonds are formed on the same face of the alkene.

As far as cis/trans in concerned, stereochemistry is preserved, so a trans alkene will become a trans epoxide and a cis alkene will become a cis epoxide.

Does that answer your question?

-Ben