Natalie - Subject Expert

Hi, the easiest way to determine hybridization is to count the number of groups bonded to the atom. Double and triple bonds count as one group.

1 group = s, 2 groups = sp, 3 groups = sp2, and 4 groups = sp3

https://chemmunity.com/programs/organic-chemistry-bond-length-strength-and-hybridization

18 Apr 14:48

screenshot-2024-04-18-1445132.png

For the heat mediated cyclization at 46:15, you could also form the enantiomer of the compound drawn. Below are both of the possible products.

Reply

02 Apr 21:01

Yes, good catch! The green should have 4 bonds to N, a positive formal charge, and no lone pair

For this example, both syn and anti products are expected and you would show both a the products.

Syn or anti stereochemistry depends on the mechanism, and professors love to ask these types of questions so make sure to pay attention to what reagents have 'stereocontrol' (result in only syn or only anti product based on their mechanism)!

The reason we get both syn and anti addition products for the reaction at 27:20 is because the mechanism goes through a carbocation. Remember back to SN1 reactions, where stereochemistry is destroyed because of the carbocation intermediate. Carbocations are flat, so the chloride nucleophile can attack from either to top or bottom face of the flat carbocation. This gives us both syn and anti products because the chloride addition is not controlled at all.

01 Apr 18:28

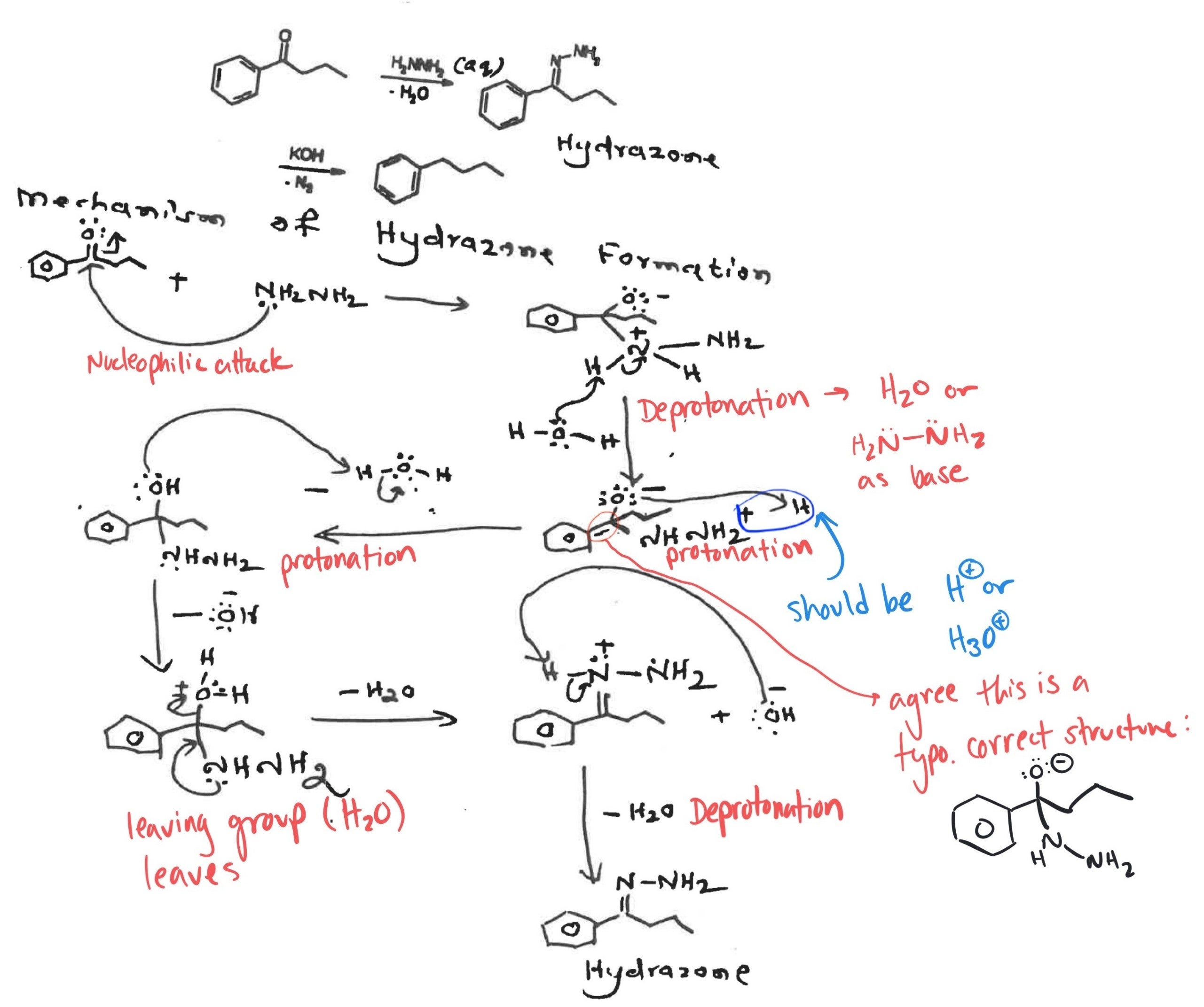
Melanie Pena, the blue should be hydronium, great job! The red, I believe is a typo (see above image for correct structure) because this violates the octet rule, and we did not move any electrons to form a double bond here in the last step.

01 Apr 18:27

whiteboard-76.jpg

Hi Melanie, the main difference in these two mechanisms is that your professor uses water to do the deprotonation instead of another equivalent of hydrazine (3:14 above). Either can act as a base and remove a proton in this mechanism. I have added the name of each step of the mechanism so you can follow what Melissa is doing here on your Professor's notes.

Reply
screenshot-2024-03-22-171013.png

Carissa Granados, if we re-draw the molecule with H facing back, we would still get R stereochemistry. Ben is using a trick here to avoid having to re-draw the molecule. If the lowest-priority substituent is facing toward you, simply reverse the rule for R/S rotation:

If low-priority is 'away':                                   If low-priority is 'towards':

Clockwise = R --------------------------->Clockwise = S

counterclockwise = S -------------------->Counterclockwise = R

22 Mar 14:39

Orientation is very important here! Usually, we orient the lowest priority group away from us, or into the page. However, you can use a trick to work these problems faster. If the lowest priority group is facing toward you, simply reverse the R/S direction as shown in the video.

If low-priority is 'away':                                   If low-priority is 'towards':

Clockwise = R --------------------------->Clockwise = S

counterclockwise = S -------------------->Counterclockwise = R

whiteboard-72b.jpg

Ashley Wampler, great question! N does still have to obey the octet rule. However, it has a couple of choices on how it obeys the octet rule.

If it has 3 bonds and 1 lone pair, it can share more electrons in those three bonds. Effectively, this means the electrons (negatively charged) are spread out further from N, shared with the atoms next door. In this case, N will be neutral because its 5 protons (positively charged) can balance out the 5 electrons (negatively charged) that are closest to the nitrogen nucleus.

However, if N has a negative charge that means it can't balance all the negative charge from the electrons! In this case, there are 6 valence electrons and 5 N protons. This usually manifests as two lone pairs and two bonds (as at 9:15). N still obeys the octet rule, by sharing electrons in bonds, but more of the electrons are on N, giving it a negative charge.

Reply

11 Mar 20:47

whiteboard-72a.jpg

Hi Jag, great question! This gets to the heart of organic chemistry, where reactivity exists on a 'gradient' where more than one thing can happen. Melissa explains at ~17:00 why acid-promoted epoxide opening reactions can attack at the more substituted position.

The most important point is that tertiary carbons (having 3 non-hydrogen substituents) are the best at stabilizing positive charge. This is what we see in SN1 reactions, were tertiary carbocations are by far the most stable. While secondary carbons can form carbocations, they are not as good as tertiary carbons at stabilizing positive charge.

In this video, Melissa goes deeper than the general rules you have shown above to explain why reactivity at the more substituted position can happen. However, I recommend talking to your professor about their opinion and following their guidance as this is a 'grey area'.

Reply